| Published by the STCE - this issue : 11 Jul 2019. The Solar-Terrestrial Centre of Excellence (STCE) is a collaborative network of the Belgian Institute for Space Aeronomy, the Royal Observatory of Belgium and the Royal Meteorological Institute of Belgium. |
|
| Archive of the newsletters | Subscribe to this newsletter by mail |
We solicit manuscripts on this general subject for inclusion in a Topical Collection of the journal Solar Physics. The deadline for submission of statements of interest (SOI) with a tentative title, abstract, author list, and three suggestions for referees, preferably with e-mail, is 13 September 2019; and the deadline for manuscript submission is 2 November 2019, the 10th anniversary of the launch of PROBA2.
This Topical Collection is a follow-up of the 2013 Topical Issue that highlighted the scientific and operational achievements after the first two years of the mission. This Topical Collection is not limited to research based solely on PROBA2 data, but submissions should have a clear link with the mission. Instrumental contributions are welcome as well. This Topical Collection is not a conference proceedings and all submissions must be completed original papers that meet the regular quality of the journal. The Topical Collection will start off with several invited reviews to summarize the mission's scientific achievements and frame the work in the research articles which follow. Please consult Solar Physics 291, 2016 for a recent Topical Collection. Topics to be included in the Topical Collection include:
- Flares, Eruptions, and their related phenomena
- Studies of solar irradiance and its influence on Earth
- Studies of the middle corona
- Data calibration and degradation of the PROBA2 instruments
- Studies of the global structure of the EUV corona and/or large-scale features within it
- Studies of the long-term evolution of the corona and solar irradiance over the course of the solar cycle
For further information, and submission of statements of intent, please contact proba2at10@gmail.com.
Elke D'Huys (Guest editor), Marie Dominique (Guest editor), Matthew West (Guest editor), John Leibacher (Solar Physics Editor-in-Chief)

There were no sunspot regions and no flares on the visible side of the Sun until alpha region NOAA 2744 appeared on July 7 (the last day of the week), and produced five low B flares. The GOES X-ray flux background was around A7-A8 level. There were no Earth-directed coronal mass ejections (CMEs) and the greater than 10 MeV proton flux was at nominal levels throughout the week.
Its high southern latitude (-27 degrees) and reversed magnetic polarity strongly suggest that sunspot group NOAA 2744 actually belongs to the new solar cycle 25. Underneath a white light image and magnetogram made by SDO/HMI on July 7, overlaid with a grid (15 degrees x 15 degrees). More on magnetic configurations of new and old cycle sunspot regions, and how to recognize them, can be found in this STCE Newsitem at http://www.stce.be/news/422/welcome.html

Solar flare activity remained very low during the week.
In order to view the activity of this week in more detail, we suggest to go to the following website from which all the daily (normal and difference) movies can be accessed: http://proba2.oma.be/ssa
This page also lists the recorded flaring events.
A weekly overview movie can be found here (SWAP week 484): http://proba2.oma.be/swap/data/mpg/movies/weekly_movies/weekly_movie_2019_07_01.mp4
Details about some of this week's events, can be found further below.
If any of the linked movies are unavailable they can be found in the P2SC movie repository here: http://proba2.oma.be/swap/data/mpg/movies/

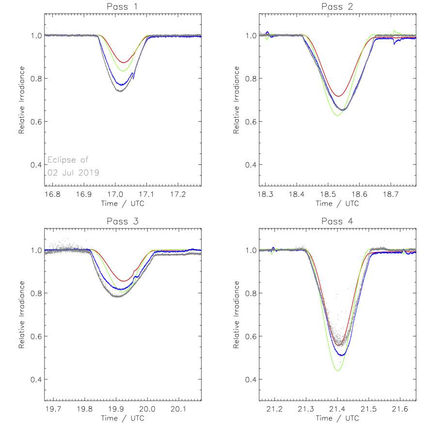
On 2019-Jul-02 a total eclipse as seen from Earth was seen by SWAP as four partial solar eclipses. The SWAP image above was taken during the fourth partial occultation.
Find a movie of the event here http://proba2.oma.be/Events/2019-Jul-02-SolarEclipse/movies/swap_eclipse_2019_07_02_timestamp_compressed.mp4 and further images available here http://proba2.oma.be/Events/2019-Jul-02-SolarEclipse/

The four occultations were also observed by LYRA’s "calibration unit" (unit 1) in addition to the nominal one (unit 2). The plots above show normalized observations by LYRA during the four passes in the eclipse zone. The colors correspond to the observations by the four channels of LYRA: red = Lyman-alpha, green = Herzberg, blue = Aluminum, black = Zirconium.

The largest flare of the week (B3.6) was observed by SWAP and LYRA on 2019-Jul-06 and is visible in the south-eastern quadrant of the Sun in the SWAP image above taken at 21:20 UT.
Find a movie of the event here (SWAP movie): http://proba2.oma.be/swap/data/mpg/movies/20190706_swap_movie.mp4

The daily Estimated International Sunspot Number (EISN, red curve with shaded error) derived by a simplified method from real-time data from the worldwide SILSO network. It extends the official Sunspot Number from the full processing of the preceding month (green line). The plot shows the last 30 days (about one solar rotation). The horizontal blue line shows the current monthly average, while the green dots give the number of stations included in the calculation of the EISN for each day.
The solar wind as registered by ACE was at nominal levels until the arrival of a solar wind stream associated with a recurrent negative polarity equatorial coronal hole around 22:25 UT on July 4. On the next day, solar wind speed reached a maximum of 455 km/s while the magnitude of the Interplanetary Magnetic Field rose to 8 nT. The solar wind was back to nominal values on July 6. Except two intervals with K Dourbes = 4 on July 1, all K Dourbes and NOAA Kp values were between 0 and 3 throughout the week.
The SDO/AIA image underneath shows the small negative polarity coronal hole in extreme ultraviolet.

The Space Weather Briefing presented by the forecaster on duty from 1 to 7 July. It reflects in images and graphs what is written in the Solar and Geomagnetic Activity report.

The pdf-version: http://www.stce.be/movies/20190708_SWxbriefing.pdf
The automatically running presentation: http://www.stce.be/movies/20190708_SWxbriefing.wmv

The figure shows the time evolution of the Vertical Total Electron Content (VTEC) (in red) during the last week at three locations:
a) in the northern part of Europe(N61°, 5°E)
b) above Brussels(N50.5°, 4.5°E)
c) in the southern part of Europe(N36°, 5°E)
This figure also shows (in grey) the normal ionospheric behaviour expected based on the median VTEC from the 15 previous days.
The VTEC is expressed in TECu (with TECu=10^16 electrons per square meter) and is directly related to the signal propagation delay due to the ionosphere (in figure: delay on GPS L1 frequency).
The Sun's radiation ionizes the Earth's upper atmosphere, the ionosphere, located from about 60km to 1000km above the Earth's surface.The ionization process in the ionosphere produces ions and free electrons. These electrons perturb the propagation of the GNSS (Global Navigation Satellite System) signals by inducing a so-called ionospheric delay.
See http://stce.be/newsletter/GNSS_final.pdf for some more explanations ; for detailed information, see http://gnss.be/ionosphere_tutorial.php